Der Wellenwiderstand einer Leitung
Wer hat sich nicht schon mal gefragt, warum auf einem Koaxkabel 50 Ohm oder 75 Ohm steht. Misst man mit dem Multimeter zwischen Innenleiter und Mantel, kommt man bestimmt auf einige Mega- oder Gigaohm und zwischen Anfang und Ende am Innenleiter oder Mantel sind es höchstens einige Ohm. Wie kommt man auf die 75 Ohm bei Videoleitungen und 50 Ohm bei Laborkabeln?
Zum Verständnis ist ein kleines Gedankenspiel nötig:
Alle elektrische Größen, also auch Strom und Spannung, sind Größen, die sich physikalisch aus der elektromagnetischen Wechselwirkung erklären lassen (Maxwellsche Gleichungen). Auch Licht und chemische Vorgänge lassen sich auf diese Fundamentalkraft zurückführen. Die elektromagnetische Wechselwirkung ist jedoch nicht unendlich schnell, sondern sie ist durch die Lichtgeschwindigkeit im Vakuum begrenzt. Das ist sehr genau messbar und unumstößlich. Somit sind alle elektrischen, magnetischen, chemischen, optischen… Vorgänge in ihrem räumlichen und zeitlichen Ablauf durch die Lichtgeschwindigkeit im Vakuum begrenzt.
Von Bedeutung für eine Schaltung wird dies, wenn sie nicht unendlich klein ist, also eine räumliche Ausdehnung hat. Das klingt zunächst komisch, denn wie soll man sich eine unendlich kleine Schaltung vorstellen? Antwort: Garnicht!
Jede Schaltung ist räumlich ausgedehnt. Um es am Anfang einfach zu halten, wird die einfachste aller Schaltungen betrachtet: Die Leitung.
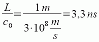
Nach obigen Überlegungen ist leicht einzusehen, dass wenn man z.B. an einem Koaxkabel von L = 1 m Länge vorne eine Spannung anlegt, diese frühestens nach

hinten anliegen kann. Durch den Aufbau des Kabels ist die Verzögerung um den Faktor 1,5 größer, also 5 ns/m. Dies ist gewollt und muss so sein (Die Erklärung ist für eine Einführung zu kompliziert). Wer glaubt, dies sei quasi keine Verzögerung, muss nur an seinen PC denken, in dem mittlerweile 1 Nanosekunde einer Ewigkeit gleichkommt.
Die Geschwindigkeit, mit der sich Spannung und Strom ausbreiten, sind also von imenser Bedeutung!
Was hat das ganze jetzt mit dem Wellenwiderstand zu tun?
Dazu betrachten wir nochmal oben erwähnten Spannungssprung in folgender Schaltung.

Zunächst liegen überall 0 V an. Die Leitung könnte jetzt genausogut ausgebaut werden, die Funktion der Schaltung würde nicht verändert. Wir lassen sie aber drin.
Jetzt springt vorne die Spannung von 0 V auf 1 V, nun liegt auch sofort eine Spannung am Leitungsanfang. (Ug und Rg werden als Bauelemente ohne räumliche Ausdehnung angenommen, d.h. sie verursachen keine Verzögerung.) Aber wie hoch ist die Spannung am Leitungsanfang? Mit dem Abschlusswiderstand darf man nicht rechnen, denn der ist für den Generator zum Sprungzeitpunkt unbekannt.
Antwort: Das Kabel ist so gebaut, dass es am Anfang 50 Ohm erscheinen lässt, wenn diese am Ende wirklich angeschlossen sind. Diesen angepassten Fall, dass Rg und RL auch 50 Ohm sind, nehmen wir an. Das heißt: Vorne liegen zum Sprungzeitpunkt 0,5 V an. Dieser Spannungssprung “fliegt” mit 1/v = 5 ns/m durch das Kabel und liegt nach L/v = 100 ns hinten am Abschlusswiderstand an. Nach dieser Zeit kann also das Kabel wieder als wirkungslos betrachtet werden, da wir uns nun wieder im Gleichspannungsbetrieb befinden. Man könnte es sich aus der Schaltung wegdenken, ohne diese verändert zu haben.
Was aber geschieht im Kabel während der Spannungssprung durchfliegt?
Man kann sich das Kabel als Reihenschaltung infinitesimaler längs liegender Induktivitäten und quer liegender Kapazitäten vorstellen:

Daraus ergiebt sich ein Induktivitätsbelag und ein Kapzitätsbelag. Diese stehen zusammen mit dem Dielektrikum, das zwischen Innenleiter und Schirm liegt in einem ganz bestimmten Verhältnis, sodass sich die oben gezeigten Eigenschaften bei Abschluss mit 50 Ohm ergeben. Ein 75 Ohm-Kabel hat also einen anderen Aufbau als 50 Ohm-Kabel, weil es physikalisch nur bei einem Abschlusswiderstandswert machbar ist, dass ein Kabel nur verzögert, aber die Phasenlage aller Frequenzen bis ca. 50 Ghz nicht verändert. Das heißt, wenn falsch abgeschlossen wird, wird die Phasenlage frequenzabhängig verändert. Um zu verstehen was das bedeutet, muss man die Fourierreihen bzw. die Integraltransformationen von Laplace verstanden haben, was an dieser Stelle zu weit weg vom Thema führen würde.
Die obige Vorstellung von einem Kabel ist allerdings nur ein Modell und entspricht daher der Realität nur begrenzt. Als Anschauung ist es trotzdem in Ordnung: Die elektrische Energie, also der Spannungssprung wird vorne angelegt. Es werden jetzt nacheinander die Kondensatoren geladen. Der Ladestrom ist jeweils durch die quer liegende Induktivität begrenzt, sodass die Spannung Ihre Zeit braucht, um durch die Schaltung zu wandern. Auch der Strom ist verzögert, da er solange über die Kondensatoren fließt, wie sie noch nicht bis auf die Sprunghöhe geladen sind.
Abschließend ist also zu sagen: Der Wellenwiderstand eines Kabels ergibt sich aus der Geometrie und den verwendeten Materialien. Der Induktivitäts- und Kapazitätsbelag sind nichts Unerwünschtes an einem Kabel, sondern es sind nötig Eigenschaften um hohe Frequenzen zu übertragen.
Kommentare
Kommentar von ohne Name am 25.11.2007 um 03:16 geschrieben:
An vorigen Kommentator: didaktisch sehr schlecht kritisiert
Kommentar von Der Autor am 25.11.2007 um 14:13 geschrieben:
"Vergessen Sie, was Sie bisher über Elektronik gehört haben, alles unter 1GHz ist sowieso Gleichstrom." War der erste Satz meines HF-Professors in der ersten Vorlesung. Hochfrequenztechnik ist nunmal nicht das übliche U-I-Spiel, das bis einige Megahertze funktioniert sondern eine sehr viel physikalischere, theoretischere, aber auch allgemeiner geltende Beschreibung von Elektronik. Die oben verwendeten mathematischen Zusammenhänge sind Teil der Schulphysik. Eine weitere didaktische Reduktion ist nicht möglich, die Rechnung wird dann entweder falsch oder ist physikalisch nicht richtig begründet. Wer sich nicht mit mathematisch komplexerem als U=RI beschäftigen will muss die Finger von der HF-Technik lassen.
Kommentar von me am 27.11.2007 um 19:04 geschrieben:
Ich finde den Beitrag gut.
Kommentar von WB am 01.12.2007 um 12:37 geschrieben:
Ich hab arrogante Professoren erlebt die im Praxisfall mit Wellengleichungen scheitern , diese Erklärung ist einfach und gut und auch für den Baustellen Elektriker verkraftbar.
Kommentar von Elektroniker am 12.03.2008 um 20:26 geschrieben:
Zitat: "An vorigen Kommentator: didaktisch sehr schlecht kritisiert"
genial :D stimmt :)
Ich fand den Text gut, weil ich was dabei gelernt habe :P Ist auch verständlich, und besser als Wikipedia sowieso ;)
Kommentar von Andi am 10.04.2008 um 21:08 geschrieben:
Liegt die Induktivität im Kabel nun längs oder quer ?
Sonst finde ich den Beitrag gut.
Kommentar von dangeoe (Autor) am 10.04.2008 um 22:53 geschrieben:
In dem Sinne liegt da überhaupt keine Induktivität. Man darf sich ein Koaxkabel nicht als Schaltung mit realen Bauteilen vorstellen. Es ist nur eine Analogie: Das Kabel hat pro Meter einen bestimmten Kapazitäts- und InduktivitätsBELAG. Daher auch der Strich an den L' und C', was eine Ableitung nach dem Ort und damit infinitesimale Größen andeutet.
Oder anders herum: Ein Stück Draht hat immer eine Induktivität, selbst wenn es nicht zur Spule gewickelt ist. Daher kann man es sich auch als Reihenschaltung unendlich kleiner Spulen vorstellen. Das entspricht hier den L's längs des Kabels. Zwei parallele Drähte haben immer eine Kapazität gegeneinander. Also kann man sich auch das als fein verteilte unendlich kleine Kondensatoren vorstellen. Ein Koaxkabel hat beide Eigenschaften: längs des Leiters/Schirms einen Induktivitätsbelag und zwischen Schirm und Leiter einen Kapazitätsbelag. So kommt obiges Modell zustande.
Ich finde es auch nur bedingt tauglich, es ist auch nicht auf meinen Mist gewachsen, aber mir fällt auch kein besseres Modell ein. Irgendwie muss man ja an bekanntes anknüpfen.
Kommentar von tuefftöler am 06.05.2008 um 18:26 geschrieben:
cool
Kommentar von ohne Name am 30.08.2008 um 15:29 geschrieben:
Die Erklärung ist als grundlegende Einführung zum Begreifen des Wellenwiderstandes auf Leitungen super verfasst.
Kommentar von Funkenschuaster am 03.09.2008 um 14:01 geschrieben:
Also ich finde es sehr gut erklärt für den Anfang.
Bei meinem Lehrer hab ichs nicht so gut verstanden.
Danke!
Kommentar von Felix am 03.10.2009 um 20:09 geschrieben:
Mir hat dieser Beitrag sehr geholfen
habe in den letzten wochen mit der firma im Frankfurter Opernturm (noch im bau) auch HF-Kabel verbaut (mobielfunk-netz) udn mich sehr gefragt wie diese 50 ohm zustande kommen
also vielen dank mir hats geholfen mfg felix
Kommentar von Amin am 04.12.2009 um 14:34 geschrieben:
könnten Sie mir noch erläutern! wieso man eine Induktivität und einen Kondensator verwendet?
wie können sie hohe frequenzen übertragen?
Danke
Kommentar von dangeoe am 04.12.2009 um 15:40 geschrieben:
Es werden weder Induktivitäten noch Kondensatoren verwendet. L' und C' sind Iduktivitäts-/Kapazitätsbeläge pro Länge Kabel (örtliche Ableitung dL/dx bzw. dC/dx, daher auch der Strich hinter den Größen). Wie im Artiel oben erwähnt setzt man durch die Geometrie und die Wahl der Materialien beide Beläge in ein bestimmtes Verhältnis, um den gewünschten Wellenwiderstand zu erhalten.
Sie haben zwar richtig erkannt: Aus größeren Belägen resultieren längere Laufzeiten. ABER falsch gefolgert: Hohe Frequenzen können trotzdem übertragen werden: durch die kleinere Ausbreitungsgeschwindigkeit wird lediglich die Wellenlänge der übertragenen Frequenz verkleinert. Dasselbe elektrische Signal befindet sich auf einem örtlich kleineren Abschnitt des Kabels.
Wenn Sie sich also das Kabel aus realen Kondensatoren und Induktivitäten aufgebaut vorgestellt haben, so war Ihre Modellvorstellung einfach nicht fein genug und daher nicht mehr gültig. Stellen Sie sich 1Mio. mal mehr Bauteile vor, die dafür 1Mio. mal kleiner sind, dann klappts auch mit einer größeren Frequenzen.
Beste Grüße
Kommentar schreiben
Die Kommentar-Funktion ist nur für angemeldete User freigegeben.


Kommentar von ohne Name am 23.11.2007 um 14:04 geschrieben:
didaktisch sehr schlecht erklaert